Skip to main content

Sifat-Sifat Eksponen

Jika suatu bilangan berpangkat dikalikan ataupun dibagikan dengan suatu bilangan berpangkat yang lain maka, sifat-sifat eksponen yang digunakan adalah sebagai berikut

Contoh 1

Tentukan nilai dari:

Jawaban

Catatan



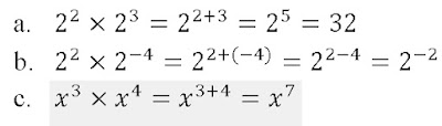
Contoh 2

Tentukan nilai dari:

Jawaban

Catatan

Contoh 3

Tentukan nilai dari:

Jawaban

Catatan


Contoh 4

Tentukan nilai dari:

Jawaban



Contoh 5

Tentukan nilai dari:

Jawaban

Silahkan bertanya jika ada hal yang tidak kamu pahami di kolom komentar! Selamat belajar.


Comments

Popular posts from this blog

Analisa Saringan Agregat Halus Dan Kasar

I. Pengertian Umum Metode ini dimaksudkan sebagai pegangan dalam pemeriksaan untuk menentukan pembagian butir (gradasi) agregat halus dan agregat kasar dengan menggunakan saringan. II. Tujuan Umum Tujuan pengujian ini ialah untuk memperoleh distribusi besaran atau jumlah persentase butiran baik agregat halus maupun agregat kasar. Distribusi yang diperoleh dapat ditunjukan dalam table atau grafik. Foto oleh  Kenneth Carpina  dari  Pexels III. Peralatan Peralatan yang digunakan adalah sebagai berikut: 1.     Neraca dengan ketelitian 0,01 gram 2.     Satu set saringan;No. 4 (4.75 mm) ; No. 8(2,36 mm) ; No. 16(1,18 mm) ; No. 30(0,600 mm) ; No. 50(0,300 mm) ; No. 100(0,150 mm) ; No. 200(0,075 mm) 3.     Mesin pengguncang saringan 4.     Kuas dan alat-alat lainnya IV. Bahan Percobaan Benda uji diperoleh dari alat pemisah contoh atau cara perempat banyak : benda uji disiapkan berdasarkan standar y...

Pemeriksaan Kadar Air Tanah ( Moisture Content Test )

I. Pengertian Umum Kadar air ( Moisture Content ) adalah perbandingan berat air terkandung dalam contoh tanah atau agregat dengan berat kering tanah / agregat. Nilai kadar air biasanya dinyatakan dalam persen (%). Apabila satuan nilai kadar air tidak dinyatakan dalam persen, maka hasil pengujian dikalikan dengan 0.01. Foto oleh  Rodolfo QuirĂ³s  dari  Pexels II. Tujuan Pemeriksaan Pemeriksaan ini bertujuan untuk menetukan nilai kadar air tanah yang dikandung oleh contoh tanah atau agregat yang diambil dari lapangan (hasil pengeboran). III. Alat 1.     Cawan kedap air + tutupnya,dari logam atau aluminium, 2.     Oven,dengan pengatur suhu 30 0­ C-2000C 3.     Timbangan/Neraca Ohauss,Ketelitian 0,01 gram 4.     Dessicator/Alat pendingin 5.     Spatula 6.     Alat Tulis IV. Bahan Uji Menggunakan tanah yang tidak terganggu yang didapatkan dari hasil pemboran yaitu...

Pengukuran

Pengertian Menurut KBBI pengukuran adalah proses, cara, dan perbuatan mengukur. Pengkuran bisa juga diartikan sebagai membandingkan suatu besaran dengan besaran standar. Besaran diartikan segala sesuatu yang bisa diukur, memiliki nilai dan satuan sedangkan besaran standar berdasarkan perjanjian internasional yaitu International Systems of units (UI) yang menetapkan 7 besaran pokok yang satuannya adalah meter (m), kilogram (kg), sekon (s), ampere (A), kelvin (K), candela (cd), dan mole (mol). Oleh karena itu, disimpulkan bahwa pengukuran   adalah membandingkan sesuatu yang diukur dengan alat ukur yang digunakan. Alat Ukur Panjang dan ketelitiannya Mistar Siapa yang tidak mengenal mistar. Mistar merupakan alat ukur Panjang yang sering digunakan oleh seorang siswa sebagai alat tulis. Nah, ternyata mistar merupakan alat ukur Panjang yang sederhana yang bisa kamu gunakan Ketika melakukan pengukuran. Jarak dua gores pendek berdekatan pada mistar yang biasa Anda gunakan adalah 1 mm...